铸铁压滤机

北京公海gh555000aa线路检测过滤工程技术有限公司位于北京市丰台区南四环诺德中心,注册资金1000万元。公司在河南有建设基地202亩,厂房面积70000㎡,投资1.5亿元,是集生产、制造、科研、销售、国际贸易为一体的综合性科技型企业。
公司的产品有板框式压滤机、隔膜式压滤机、厢式压滤机、带式压榨过滤机、铸铁压滤机、不锈钢过滤器等产品。产品广泛应用于环保、矿业、冶金、医药、石油、化工、煤炭、食品等领域。

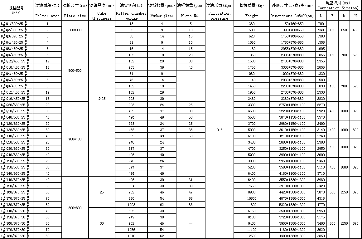
技术参数


01.png

铸铁压滤机

02.png

全自动铸铁压滤机


产品详情

铸铁板框压滤机由优质铸铁或球墨铸铁精密铸造而成,适用于高温物料的过滤,滤板强度高,承受过滤压力大,使用寿命长,广泛应用于石油化工、冶金、油脂、陶瓷等行业的固液分离。


上一篇 : 不锈钢压滤机 下一篇 : 一次拉开压滤机

首页

关于公海gh555000aa线路检测

产品中心

电话咨询